علوم الحاسوب

99 مقالة

هل العمل على عدة مشاريع -أيا تكون- بالتزامن، أمر مجدٍ

هل العمل على عدة مشاريع -أيا تكون- بالتزامن، أمر مجدٍ؟ على عكس أسلوبي في القراءة إذ أخصص أجزاء متصلة من كل سنة للقراءة في موضوعات قريبة من بعضها، فيكون -على سبيل المثال- نصف كامل من السنة للدراسة في ...

اقرأ المزيد ←
كتاب شديد الأهمية، يضعك على مفترقات طرق تطور الرياضيات، ويسلِّمك أعناق ورقاب حقولها وتفرعاتها

كتاب شديد الأهمية، يضعك على مفترقات طرق تطور الرياضيات، ويسلِّمك أعناق ورقاب حقولها وتفرعاتها

كتاب شديد الأهمية، يضعك على مفترقات طرق تطور الرياضيات، ويسلِّمك أعناق ورقاب حقولها وتفرعاتها...ونقول مرة بعد مرة: تواريخُ العلوم مفتاحُ الإبداع فيها

اقرأ المزيد ←
يا للعجب! أيُّ أوصاف بديعة يهب اللهُ الرياضياتيين قولَها!

الرياضياتي الخارق جون...

يا للعجب! أيُّ أوصاف بديعة يهب اللهُ الرياضياتيين قولَها! الرياضياتي الخارق جون...

يا للعجب! أيُّ أوصاف بديعة يهب اللهُ الرياضياتيين قولَها! الرياضياتي الخارق جون فون نويمان يقول بشاعرية: "عبر أربعة مَعْلَمَات Parameters يمكنني أن أصنع فيلا، وعبر خمسة أستطيع أن أجعل خرطومه يتحرك" ...

اقرأ المزيد ←

أجدى نصيحة يمكن أن تُقدم في هذا الصدد أن تبدأ من حيث ينتهي البعض أي أن تباشر درا...

أجدى نصيحة يمكن أن تُقدم في هذا الصدد أن تبدأ من حيث ينتهي البعض أي أن تباشر دراسة علم التحسيب النظري Theoretical computer science من فورك بدلا من المخطط المعهود الذي يبدأ مع أمور تطبيقية ومناحي عملية...

اقرأ المزيد ←

إذا أردت أن تقول كلاما تافها عديم المغزى بئيس المعنى وتريد مع ذلك أن يحترمك الحض...

إذا أردت أن تقول كلاما تافها عديم المغزى بئيس المعنى وتريد مع ذلك أن يحترمك الحضور فاسبق قولك "وهذا رأيي الشخصي" وألحقه "وهذه وجهة نظري". مبارك إذ ذاك لن يستهجن أحد ممن يسمعك كلامَك وإن كان بائسا بئيس...

اقرأ المزيد ←

الفرضية التي لا يمكن إقامة الدليل عليها وفي ذات الآن لم تُدحَض إلى يومنا: أطروح...

الفرضية التي لا يمكن إقامة الدليل عليها وفي ذات الآن لم تُدحَض إلى يومنا: أطروحة تورنغ - تشيرش Church-Turing thesis في علم التحسيب النظري والرياضيات ومؤدياتها الفلسفية والعملية تؤسس أطروحة تورنغ - ت...

اقرأ المزيد ←
قسا قلبي -وأنا قيس- جرَّاء إكثار الانكباب على العلوم المجردة الدقيقة وفي أولها ا...

قسا قلبي -وأنا قيس- جرَّاء إكثار الانكباب على العلوم المجردة الدقيقة وفي أولها ا...

قسا قلبي -وأنا قيس- جرَّاء إكثار الانكباب على العلوم المجردة الدقيقة وفي أولها المنطق وعلم التحسيب النظري. ولكنني أذكر رهافة حسٍّ أعظم تميزت بها سابقا وقتما كنت أوفي الآداب النفسية حقوقها من المطالعة....

اقرأ المزيد ←
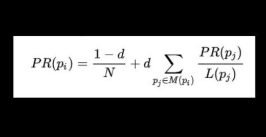
لولا هذه المعادلة لكان من الصعب اختراع المحركات البحثية مثل محرك غوغل وغيره

هذه...

لولا هذه المعادلة لكان من الصعب اختراع المحركات البحثية مثل محرك غوغل وغيره هذه...

لولا هذه المعادلة لكان من الصعب اختراع المحركات البحثية مثل محرك غوغل وغيره هذه معادلة ترتيب صفحات PageRank Equation، وهي جزء من خوارزمية ترتيب الصفحات PageRank Algorithm التي أوجدها لاري بيج وسيرجي ...

اقرأ المزيد ←
عالم الحاسوب جون سُوَا لا يفتأ يذكر ابن تيمية في أوراقه التحسيبية، وهذه المرة في...

عالم الحاسوب جون سُوَا لا يفتأ يذكر ابن تيمية في أوراقه التحسيبية، وهذه المرة في...

عالم الحاسوب جون سُوَا لا يفتأ يذكر ابن تيمية في أوراقه التحسيبية، وهذه المرة في ورقة عن علم الحاسوب الاستعرافي Cognitive Computer Science سبق وتطرقت كثيرَ التطرق إلى الأهمية التي أظهرها جون سوا لكت...

اقرأ المزيد ←
هل يعرف الدارس العربي أن لنصير الدين الطوسي وعمر الخيام تأثيرا على الهندسة اللإق...

هل يعرف الدارس العربي أن لنصير الدين الطوسي وعمر الخيام تأثيرا على الهندسة اللإق...

هل يعرف الدارس العربي أن لنصير الدين الطوسي وعمر الخيام تأثيرا على الهندسة اللإقليدية التي بزغت في أوروبا إبان عصر النهضة؟ 1. يكتب نصير الدين الطوسي في القرن الثالث عشر تعليقات على شغل عمر الخيام في ...

اقرأ المزيد ←
لكي تحل المعضلة التحسيبية التي في الصورة -معضلة البائع المتجول- فإنك تحتاج 8,400...

لكي تحل المعضلة التحسيبية التي في الصورة -معضلة البائع المتجول- فإنك تحتاج 8,400...

لكي تحل المعضلة التحسيبية التي في الصورة -معضلة البائع المتجول- فإنك تحتاج 8,400,000,000,000,000 سنة! يعني 8.4 كوادريليون سنة هذي معضلة البائع المتجول، وباختصار فإن جملتها: عندك بائع يريد زيارة عدد م...

اقرأ المزيد ←
ميشا غروموف -أحد أباطرة الرياضيات في العصر الحديث- متأنقا بجلسة تجعلك لا تميزه عن شحاذ في الشارع

ميشا غروموف -أحد أباطرة الرياضيات في العصر الحديث- متأنقا بجلسة تجعلك لا تميزه عن شحاذ في الشارع

ميشا غروموف -أحد أباطرة الرياضيات في العصر الحديث- متأنقا بجلسة تجعلك لا تميزه عن شحاذ في الشارع. ~ الصورة من وثائقي حول غريشا بيرلمان تحدث فيه جمع غفير من عمالقة الروس عنه.

اقرأ المزيد ←

في حين يبحث كثيرون عن حضن يستدفئون به، أنا غارق في التفكير بإمكانية إيجاد خوارزم...

في حين يبحث كثيرون عن حضن يستدفئون به، أنا غارق في التفكير بإمكانية إيجاد خوارزمية كثير حدود لتوازن ناش Nash Equilibrium، التعقيد الحسابي لتوازن ناش هو واحد من أعقد المسائل التحسيبية في نظرية اللعبة ا...

اقرأ المزيد ←
وقعت على كتاب "ليونارد أويلر: العبقرية الرياضية في عصر التنوير" وما أن وقعت عليه...

وقعت على كتاب "ليونارد أويلر: العبقرية الرياضية في عصر التنوير" وما أن وقعت عليه...

وقعت على كتاب "ليونارد أويلر: العبقرية الرياضية في عصر التنوير" وما أن وقعت عليه حتى قررت البدء فورا في قراءته، لعلمي بأهمية كتب السِّيَر في السياقات العلمية؛ فمثل ذي الكتب إنما تعزز القريحة وتجلي الس...

اقرأ المزيد ←

إيفاريست غالْوَا وضياع الرياضيات، ومن لا يعرف غالْوَا

إيفاريست غالْوَا وضياع الرياضيات، ومن لا يعرف غالْوَا! لعل الرياضياتي الفرنسي غالْوَا من الذين يتمنى المجتمع الرياضياتي لو عاشوا أكثر مما عاشوا، فذا الفتى في الصورة مات وعمرُه عشرون سنة! وعند هذا ...

اقرأ المزيد ←
خلَّصت دراسة المجلدات الخمسة من كتاب الشفاء المعنية بالمنطق والإلهيات (≈2800 صفح...

خلَّصت دراسة المجلدات الخمسة من كتاب الشفاء المعنية بالمنطق والإلهيات (≈2800 صفح...

خلَّصت دراسة المجلدات الخمسة من كتاب الشفاء المعنية بالمنطق والإلهيات (≈2800 صفحة) لغة ابن سينا رائقة وممتازة بحق، الرجل يكتب على أحلى ما يكون، وتصنيفه وتبويبه للحقول جدُّ ماتع، كما أن استطراداته واف...

اقرأ المزيد ←

- أعقبته بتعليق على الفيسبوك - ضغط النصوص يعد من أشهر التطبيقات: فلنفترض أن عن...

- أعقبته بتعليق على الفيسبوك - ضغط النصوص يعد من أشهر التطبيقات: فلنفترض أن عندنا رسالة نصية قصيرة "ABABABAB"، ونريد ضغطها، أي تقليل مساحتها على الحاسوب: ● نحسب التوزيع الاحتمالي: 1. نحسب تكرار كل...

اقرأ المزيد ←

العلوم الحديثة، من أقلِّها تجريدا حتى أكثرها تعقيدا، تستلزم قياس التمثيل استلزام...

العلوم الحديثة، من أقلِّها تجريدا حتى أكثرها تعقيدا، تستلزم قياس التمثيل استلزاما بما لا يُقَاس مع قياس الشمول. وهاهنا تظهر عبقرية ابن تيمية المنطقية؛ فدفاعه عن التمثيل في وجه الشمول كان فذًّا وموفقًّ...

اقرأ المزيد ←

هذه من حصائل الكتب التي أجمعها وأقرأ منها مُذْ أيام المدرسة، ومنها ما هو موجود م...

هذه من حصائل الكتب التي أجمعها وأقرأ منها مُذْ أيام المدرسة، ومنها ما هو موجود منذ أيام الصف الثامن الابتدائي، فصحيح انها pdf، لكن عاملوها برفق. هذه المجلدات تغني -جزئيا- عن خطة خارطة الطريق، وفيها ت...

اقرأ المزيد ←
"فإن فيه [أي المنطق] من القواعد السلبية الفاسدة ما راجت على كثير من الفضلاء، وكا...

"فإن فيه [أي المنطق] من القواعد السلبية الفاسدة ما راجت على كثير من الفضلاء، وكا...

"فإن فيه [أي المنطق] من القواعد السلبية الفاسدة ما راجت على كثير من الفضلاء، وكانت سبب نفاقهم، وفساد علومهم" ~ ابن تيمية، مجموع الفتاوى، المجلد الخامس: المنطق وعلم السلوك، كتاب المنطق، ص144، دار ابن ...

اقرأ المزيد ←
أصدق نصيحة بالوسع تأديتها لمن قد يملِّون من الرياضيات أو لا يستلذون بها من الأسا...

أصدق نصيحة بالوسع تأديتها لمن قد يملِّون من الرياضيات أو لا يستلذون بها من الأسا...

أصدق نصيحة بالوسع تأديتها لمن قد يملِّون من الرياضيات أو لا يستلذون بها من الأساس، أنْ يقرأوا تاريخها، ومن ثَمَّ يكثفوا القراءة في تاريخها! وذي نصيحة جليلة إذ أنَّ ما فعله النظام المدرسي أو الجامعي ال...

اقرأ المزيد ←

خطة خارطة الطريق لعلم الحاسوب، خطَطْتُها بكتب من أعمق الموجود وأجود المرصود

خطة خارطة الطريق لعلم الحاسوب، خطَطْتُها بكتب من أعمق الموجود وأجود المرصود. ليست مكتملة بعد؛ تبقى إضافة علم التحسيب النظري وبعض أشياءٍ أُخَر. لكن لا بأس بنشرها الآن، والتعديل والإضافة عليها لاحقا.

اقرأ المزيد ←

يتفاعل الناس عبر مواقع التواصل استنادا إلى مبدأ يشبه الإتاوات ومفهوم الإتاوة كثيرا

يتفاعل الناس عبر مواقع التواصل استنادا إلى مبدأ يشبه الإتاوات ومفهوم الإتاوة كثيرا. والإتاوة تعني "ادفع غصبًا عنك ولكن سنقول أنك دفعت باحترامك"؛ وهكذا، فإن نظريةً بالوسع أن تُصَاغ، على أن جُل التفاعل ...

اقرأ المزيد ←
1) الشنفرى -وهو في الجاهلية- ما كان يترك نشاطا لغزالٍ يدبُّ على الأرض إلا لاحقه...

1) الشنفرى -وهو في الجاهلية- ما كان يترك نشاطا لغزالٍ يدبُّ على الأرض إلا لاحقه...

1) الشنفرى -وهو في الجاهلية- ما كان يترك نشاطا لغزالٍ يدبُّ على الأرض إلا لاحقه عَدْوًا جنونيا وذبحه فأكله، ووقتها لم يكن هنالك كاميرات ولا هواتف ذكية ولا انترنت. فأنت الآن في عصر عبادة الانترنت وتسأل...

اقرأ المزيد ←

المافيَوِية الأمريكية وجريانها على العلوم

المافيَوِية الأمريكية وجريانها على العلوم! والرياضياتيون الروس، حمير. يحكي فلاديمير أرنولد -وحش من وحوش رياضياتيي القرن العشرين- أن كلمة "الأنتجلينسيا" الروسية ليس لها مرادف في أي لغة أخرى، والتي تعن...

اقرأ المزيد ←

( إن جزءًا كبيرًا من الرياضيات التي تصبح مفيدة فيما بعد، قد تطورت دون أي رغبة في...

( إن جزءًا كبيرًا من الرياضيات التي تصبح مفيدة فيما بعد، قد تطورت دون أي رغبة في أن تكون مفيدة، وفي وضع لا يمكن لأحد أن يعرف في أي مجال ستصبح مفيدة؛ ولم تكن هناك مؤشرات عامة على أنها ستكون كذلك. وبصفة...

اقرأ المزيد ←
توصل غيرارد غينتزن إلى إثبات اتساقية Consistency مسلمات بيانو Peano Axioms عام 1...

توصل غيرارد غينتزن إلى إثبات اتساقية Consistency مسلمات بيانو Peano Axioms عام 1...

توصل غيرارد غينتزن إلى إثبات اتساقية Consistency مسلمات بيانو Peano Axioms عام 1936، عند عمر 27 سنة، وشغله الباقي في المنطق والرياضيات أعظم وأعظم جزء ضخم مما نصفه بالمنطق الرياضي الحديث تتم محاكمته إ...

اقرأ المزيد ←
بعد انقطاع طويل نسبيا عن عوالم الرياضيات، نسلِّي الذهن ونروِّض الملَكَة ونسترجع...

بعد انقطاع طويل نسبيا عن عوالم الرياضيات، نسلِّي الذهن ونروِّض الملَكَة ونسترجع...

بعد انقطاع طويل نسبيا عن عوالم الرياضيات، نسلِّي الذهن ونروِّض الملَكَة ونسترجع اللياقة بهذا الكتاب ذي الخمس مجلدات؛ من الدوافع التي جعلتني أقفز لقراءته أنه من تأليف فلاديمير سميرنوف في الحقبة السوفيي...

اقرأ المزيد ←
((  الشيء الوحيد الذي يجعل حياة الرياضياتي تستحق العيش، هو أنه يحظى بالإعجاب على...

(( الشيء الوحيد الذي يجعل حياة الرياضياتي تستحق العيش، هو أنه يحظى بالإعجاب على...

(( الشيء الوحيد الذي يجعل حياة الرياضياتي تستحق العيش، هو أنه يحظى بالإعجاب على مضض من ثلاثة أو أربعة زملاء. )) - دونالد كنوث، صحيفة دكتور دوب، مقابلة مع دونالد كنوث(4/1996).

اقرأ المزيد ←
كتاب جون فون نويمان وأوسكار مورغينستيرن في الصورة التي ترونها سعره 15 ألف دولار�...

كتاب جون فون نويمان وأوسكار مورغينستيرن في الصورة التي ترونها سعره 15 ألف دولار�...

كتاب جون فون نويمان وأوسكار مورغينستيرن في الصورة التي ترونها سعره 15 ألف دولار😃 والسبب هيِّن، أولا أنه من بقايا الكتب النادرة على وقت مشروع مانهاتن، وهو من الطبعات الأولى للكتاب التي يزيد عمرها على...

اقرأ المزيد ←
أدَّت الأدوات التي قدَّمها ناش إلى ظهور نظريات قوية جديدة (Convex Integral، Nash...

أدَّت الأدوات التي قدَّمها ناش إلى ظهور نظريات قوية جديدة (Convex Integral، Nash...

أدَّت الأدوات التي قدَّمها ناش إلى ظهور نظريات قوية جديدة (Convex Integral، Nash-Moser scheme) والتي سمحت فيما بعد بمهاجمة العديد من المشاكل الرياضية. ~ سيدريك فيلاني، 2/11/2016، النظريات الاستثنائية...

اقرأ المزيد ←

لو دخل رياضياتي وعضو مافيا صالة قمار، فإن الغلبة ستكون بكل تأكيد من نصيب الرياضي...

لو دخل رياضياتي وعضو مافيا صالة قمار، فإن الغلبة ستكون بكل تأكيد من نصيب الرياضياتي الكتاب في الصورة من تأليف غيرولاما كاردانو، وهو رياضياتي بارع من أعظم رياضيي القرن السادس عشر، كانت حياته المالية م...

اقرأ المزيد ←
الرياضياتي الملياردير جيمس سايمونز، وأقوى مدراء صناديق التحوط Hedge Funds في الع...

الرياضياتي الملياردير جيمس سايمونز، وأقوى مدراء صناديق التحوط Hedge Funds في الع...

الرياضياتي الملياردير جيمس سايمونز، وأقوى مدراء صناديق التحوط Hedge Funds في العالم، الرجل الذي سخَّر الرياضيات للسيطرة على عشوائية الأسواق المالية، يغادرنا ميتا قبل ساعة عن عمر ناهز ال86 عاما، كانت ل...

اقرأ المزيد ←
1) بدايةً لستُ صحفيا لكي أتحدث أو لا أتحدث، ثم فإن عدم "التكلم" عن قضية فلسطين ل...

1) بدايةً لستُ صحفيا لكي أتحدث أو لا أتحدث، ثم فإن عدم "التكلم" عن قضية فلسطين ل...

1) بدايةً لستُ صحفيا لكي أتحدث أو لا أتحدث، ثم فإن عدم "التكلم" عن قضية فلسطين لا يجعل شخصا جاهلا كما أن "التكلم" لا يجعله عالما، وأخيرا أنا مولود في فلسطين ولا زلت أسكنها إلى الآن. 2) لا، لا تجلب ال...

اقرأ المزيد ←

لغة البرمجة هاسكل والصرامة الرياضياتية يُشار عادة إلى لغة البرمجة هاسكل على أنه...

لغة البرمجة هاسكل والصرامة الرياضياتية يُشار عادة إلى لغة البرمجة هاسكل على أنها اللغة الأكثر صرامة بين بقية لغات البرمجة حتى أنها توصف بشائعة خاطئة: "لن تستطيع كتابة كود عبر هاسكل من غير أن تكون لدي...

اقرأ المزيد ←

حينما تكون مهرِّجا (أو ستاند أب كوميدي)، وتجد نفسك فجأةً قد أصبحت مدرِّسَ رياضيا...

حينما تكون مهرِّجا (أو ستاند أب كوميدي)، وتجد نفسك فجأةً قد أصبحت مدرِّسَ رياضيات، هذا ليس تعليما للرياضيات بل تقيُّؤًا في أدمغة التلاميذ. بعدها يتسائل المستغربون لماذا ليس عندنا رياضياتييون أفذاذ بال...

اقرأ المزيد ←
الذي يريد دراسة علم التشفير بأعمق طريقة ممكنة، فهذان المجلدان أمامه، قد يكون هذا...

الذي يريد دراسة علم التشفير بأعمق طريقة ممكنة، فهذان المجلدان أمامه، قد يكون هذا...

الذي يريد دراسة علم التشفير بأعمق طريقة ممكنة، فهذان المجلدان أمامه، قد يكون هذا أعمق كتاب أُلِّفَ في علم التشفير على الإطلاق. ستلزمك نظرية الاحتمالات وشيء من الإحصاء، والمؤلف وضع لك مراجعا تدرس منها ...

اقرأ المزيد ←
(1) قلتُ أنني سأبدأ سلسلةً من المقالات حول التداول الخوارزميّ والتداول المستند إ...

(1) قلتُ أنني سأبدأ سلسلةً من المقالات حول التداول الخوارزميّ والتداول المستند إ...

(1) قلتُ أنني سأبدأ سلسلةً من المقالات حول التداول الخوارزميّ والتداول المستند إلى الرياضيات، وأول ما أبدأ به ترشيحٌ لكتاب من العيار الثقيل، إلا أنه هذه المرة موجه خصيصا لطلبة الرياضيات أو للرياضياتيي...

اقرأ المزيد ←

أستغرب كل الاستغراب من امرئٍ لم يحلحل في حياته كلها معادلةً تفاضليةً جزئية Parti...

أستغرب كل الاستغراب من امرئٍ لم يحلحل في حياته كلها معادلةً تفاضليةً جزئية Partial Differential Equation، ومن ثَمَّ يتصدر إلى متابعيه على أنه "ناقد للعلم التجريبي والفيزياء"! أو رجلٍ لا يعرف أبجديات ا...

اقرأ المزيد ←

لا يمكن لرياضياتي تطبيقي أن يصحح ولا له أن يقوّم منطقيا نظريا، تتحرك الرياضيات ب...

لا يمكن لرياضياتي تطبيقي أن يصحح ولا له أن يقوّم منطقيا نظريا، تتحرك الرياضيات بأسرها ضمن أفلاك المنطق الرياضي، ولولا أنظمة الرتب المنطقية لما استطاع رياضياتي أو فيزيائي بل وحتى مهندس أن يزاول عمله بس...

اقرأ المزيد ←

الرجل في الصورة هو رياضياتي من طراز جدِّ رفيع، لمَّا افتقر فاحتاج مالا، سخَّر ال...

الرجل في الصورة هو رياضياتي من طراز جدِّ رفيع، لمَّا افتقر فاحتاج مالا، سخَّر الرياضيات فصنع 30 مليار دولار تخرّج جيمس سايمونز ببكالوريوس في الرياضيات من MIT عام 1958، ودكتوراة في الرياضيات من جامعة ...

اقرأ المزيد ←
ديفيد هلبرت الملقب بِجَدِّ الرياضيات ينسى نفسه تحت المطر ويعطي محاضرة رياضية في جنازة

ديفيد هلبرت الملقب بِجَدِّ الرياضيات ينسى نفسه تحت المطر ويعطي محاضرة رياضية في جنازة

ديفيد هلبرت الملقب بِجَدِّ الرياضيات ينسى نفسه تحت المطر ويعطي محاضرة رياضية في جنازة! كان لدى هلبرت -الرياضياتي الألماني العملاق- تلميذ قدَّم له نفسه مرةً عبر ورقة من المفترض بها أن تثبت حدسية ريمان...

اقرأ المزيد ←
مع أول نجاح يُكتَب لعملة مشفرة مستقرة خوارزميًّا Algorithmic Stable Coin، فإن ال...

مع أول نجاح يُكتَب لعملة مشفرة مستقرة خوارزميًّا Algorithmic Stable Coin، فإن ال...

مع أول نجاح يُكتَب لعملة مشفرة مستقرة خوارزميًّا Algorithmic Stable Coin، فإن العملات المشفرة سوف تتجه نحو لامركزية Decentralization شبه كاملة، وسيكون المسمار الأول الذي يُدَق في نعش الاقتصاد التقليدي...

اقرأ المزيد ←

"كل الرياضيات مقسومٌ إلى ثلاثة أجزاء: علم التشفير Cryptography، مدفوعٌ له من قب...

"كل الرياضيات مقسومٌ إلى ثلاثة أجزاء: علم التشفير Cryptography، مدفوعٌ له من قبل وكالة الاستخبارات المركزية CIA، ولجنة أمن الدولة السوفييتية KGB، ومن على شاكلتهما. الهايدرودايناميكا Hydrodynamis، مد...

اقرأ المزيد ←
مع خرق البيتكوين لقمته المطلقة العليا (ATH - All Time High)، عند 69,000$، أصبح س...

مع خرق البيتكوين لقمته المطلقة العليا (ATH - All Time High)، عند 69,000$، أصبح س...

مع خرق البيتكوين لقمته المطلقة العليا (ATH - All Time High)، عند 69,000$، أصبح ساتوشي ناكاموتو (مخترع البيتكوين)، من جديد، مُحتلًّا الترتيب ال17 في قائمة أثرى أثرياء العالم. إذ يملك ساتوشي مليون ومئة ...

اقرأ المزيد ←

اشتريت هذا الدومين، سأحيي أيامَ حسابي القديم عليه، اشتقت أيَّما اشتياق للأطروحات...

اشتريت هذا الدومين، سأحيي أيامَ حسابي القديم عليه، اشتقت أيَّما اشتياق للأطروحات العلمية، في الحوسبة والمنطق والرياضيات، وَلْتَتَدَرَجْ المقالات من ترغيب المبتدئين إلى ترهيب الأوباش الرِعاديد، حتى أور...

اقرأ المزيد ←

كتاب ستروسترب هذا في لغة ++C, من أدسم الكتب التي قرأتها في البرمجة ومارستُ بناءً...

كتاب ستروسترب هذا في لغة ++C, من أدسم الكتب التي قرأتها في البرمجة ومارستُ بناءً على ما فيها، والحق أنه من أوائل الكتب التي أنهيتها -كما يُقال- من الجلدة للجلدة (1300 صفحة)، إذ كنتُ أتسلى به أيام مكوث...

اقرأ المزيد ←

إن حياة ألكسندر غروتونديك، أشد الرياضياتيين عُمْقا وموهبةً طبيعية في القرن العشر...

إن حياة ألكسندر غروتونديك، أشد الرياضياتيين عُمْقا وموهبةً طبيعية في القرن العشرين، كانت حافلةً بالمآسي وغرائب الأطوار، فقد عاش ظاهرة الرياضيات -كما يحب ميشيل عطية أن يسميه- بلا جنسية، متخفيا من الغست...

اقرأ المزيد ←

منشور حسان بن عابد عن كارت غودل عبارة عن نفخ في البوق، ولكن البصاق هو الناتج وليس الصوت

منشور حسان بن عابد عن كارت غودل عبارة عن نفخ في البوق، ولكن البصاق هو الناتج وليس الصوت. الناس لا تطير فرحا إلا بالهراء. وكما قيل: إذا تحدث أحيائي في الرياضيات فألقوا به في المزبلة

اقرأ المزيد ←
حينما كان يحاول تحضير كأس من الشاي، وضع إسحق نيوتن قطعة من الذهب (Half guinea) -...

حينما كان يحاول تحضير كأس من الشاي، وضع إسحق نيوتن قطعة من الذهب (Half guinea) -...

حينما كان يحاول تحضير كأس من الشاي، وضع إسحق نيوتن قطعة من الذهب (Half guinea) -وقد كانت ثمينة جدا في ذلك الحين- على النار بدلا من الإبريق. ومرةً كان يكتب تحت ضوء الشموع، وقد أخذته الساعات تتلوها ساع...

اقرأ المزيد ←

رَ، يمكنك أن تبني صخرا على زجاج، لكنه إما أن يخدعك منتصفَ البناء أو ينكسر بعد ال...

رَ، يمكنك أن تبني صخرا على زجاج، لكنه إما أن يخدعك منتصفَ البناء أو ينكسر بعد الانتهاء فلا تجني شيئا؛ ولذا فإن الدراسة الحقة لعلم الحوسبة يجب أن تبدأ من الرياضيات، لن تحتاج أن تكون رياضياتيا، ولكن يلز...

اقرأ المزيد ←
برعاية مسرح شكسبير للرياضيات الراقصة:

"من يؤمن بأن الأعداد ليس لها نهاية فمن غي...

برعاية مسرح شكسبير للرياضيات الراقصة: "من يؤمن بأن الأعداد ليس لها نهاية فمن غي...

برعاية مسرح شكسبير للرياضيات الراقصة: "من يؤمن بأن الأعداد ليس لها نهاية فمن غير المعقول أن يكون إيمانه بالله صحيحا، لأنه يؤمن بوجود كيانين لانهائيين، الله والأعداد وهو بذلك يقترف صفة من الشرك"

اقرأ المزيد ←

رَ، اختصاص شخص ما في علم الحاسوب لا يفترض منه مهارة معينة في التعامل مع المسائل...

رَ، اختصاص شخص ما في علم الحاسوب لا يفترض منه مهارة معينة في التعامل مع المسائل البرمجية على مواقع مثل codeforces أو Leetcode، طبيعة المسائل البرمجية التنافسية هناك خيالية ولا تعالج مشكلات واقعية، بل ...

اقرأ المزيد ←

لم أشاهد في حياتي مباراة كرة قدم واحدة، ولن أفكر في مشاهدتها

لم أشاهد في حياتي مباراة كرة قدم واحدة، ولن أفكر في مشاهدتها. إلا أنني قد أشاهدها لسبب واحد؛ بدافع اختبار نظرية الألعاب Game Theory وتطبيقها عليها في مباريات كرة القدم، أو أي شكل آخر من المباريات، فإ...

اقرأ المزيد ←

أيدسكر دايكسترا، ألمعُ ألمَعِيي علماء الحوسبة في التاريخ، قام بحل مشكلة أقصر طري...

أيدسكر دايكسترا، ألمعُ ألمَعِيي علماء الحوسبة في التاريخ، قام بحل مشكلة أقصر طريق ممكنة Shortest path problem، خلال 20 دقيقة وهو جالس في مقهى مع خطيبته، وفي رأسه دون استخدام ورقة وقلم كانت خطيبته قد...

اقرأ المزيد ←

في الصورة كتاب "فن برمجة الحاسوب" أضخم الكتب على الإطلاق في علم الحاسوب، وليس كا...

في الصورة كتاب "فن برمجة الحاسوب" أضخم الكتب على الإطلاق في علم الحاسوب، وليس كاملا بعد، إذ بدأ دونالد كنوث -المؤلِّف- عامَ 1962 كتابة الكتاب، إلى اليوم عندنا خمسة مجلدات، وحسب خطة التأليف لا زالت هنا...

اقرأ المزيد ←

سبق وبيَّنت على حسابي القديم استلهام عالِم الحاسوب جون سُوَا لبعض من مقاربات ابن...

سبق وبيَّنت على حسابي القديم استلهام عالِم الحاسوب جون سُوَا لبعض من مقاربات ابن تيمية المنطقية في تطوير أنظمة حاسوبية تشتغل من خلال القياس، والآن، لأبين لماذا بالذات ابن تيمية نظام VivoMind Analogy ...

اقرأ المزيد ←
أعرفُ فَخارَ الشعر بثلاث: بما أحفظ منه، وبقولي إياه -وإن كان لا زال بدائيا- وباش...

أعرفُ فَخارَ الشعر بثلاث: بما أحفظ منه، وبقولي إياه -وإن كان لا زال بدائيا- وباش...

أعرفُ فَخارَ الشعر بثلاث: بما أحفظ منه، وبقولي إياه -وإن كان لا زال بدائيا- وباشتغالي عليه رياضيا وحاسوبيا. وإثر شيء من وقت الفراغ، نفَّذتُ -من باب التسلية- عمليةً حاسوبية على 10 آلاف بيت من الشعر، ف...

اقرأ المزيد ←

الماعز في الفيديو هو الذي يورِد أقوال ابن تيمية في الرياضيات، التي كانت على وقته...

الماعز في الفيديو هو الذي يورِد أقوال ابن تيمية في الرياضيات، التي كانت على وقته محصورةً في الهندسة الإقليدية وشيء من الحساب والجبر البسيطَيْن، ثم يُقحِم ما قاله ابن تيمية، في تشغيب حول الرياضيات الحد...

اقرأ المزيد ←
حينما سمع لويد شابلي، أحد الآباء المؤسسين لنظرية الألعاب Game Theory، خبرَ فوزه...

حينما سمع لويد شابلي، أحد الآباء المؤسسين لنظرية الألعاب Game Theory، خبرَ فوزه...

حينما سمع لويد شابلي، أحد الآباء المؤسسين لنظرية الألعاب Game Theory، خبرَ فوزه بجائزة نوبل في الاقتصاد، قال: "أعتبر نفسي رياضياتيًّا، والجائزة في الاقتصاد، لكنني لم آخذ في حياتي كلها، إطلاقا، درسا و...

اقرأ المزيد ←
من بين أساطين الرياضيات في العصر الحديث: كارل فايرشتراس، أبو التحليل الرياضي الح...

من بين أساطين الرياضيات في العصر الحديث: كارل فايرشتراس، أبو التحليل الرياضي الح...

من بين أساطين الرياضيات في العصر الحديث: كارل فايرشتراس، أبو التحليل الرياضي الحديث Modern analysis، وستيفن باناخ، أبو التحليل الدَّالِّي الحديث Modern functional analysis كلاهما لم يتخرج من جامعة، ل...

اقرأ المزيد ←
إعادة نشر من أرشيف حسابي القديم؛ لمن يهمه أو أهَمَّه

هذه خطة خارطة طريق مؤلفة م...

إعادة نشر من أرشيف حسابي القديم؛ لمن يهمه أو أهَمَّه هذه خطة خارطة طريق مؤلفة م...

إعادة نشر من أرشيف حسابي القديم؛ لمن يهمه أو أهَمَّه هذه خطة خارطة طريق مؤلفة من 200 صفحة ترسم مسارًا متسقا وصارما لدراسة المنطق الرياضي، بدءًا من الأساسات حتى أكثر المواضيع تقدما، وهي دليلٌ نفيس لطا...

اقرأ المزيد ←

بعد سنوات طويلة من دراسة علم التحسيب، وعلم التحسيب النظري، فإنني أتيقن بأن عوالم...

بعد سنوات طويلة من دراسة علم التحسيب، وعلم التحسيب النظري، فإنني أتيقن بأن عوالم الرياضيات هي أفخَر العوالم الممكنة، ولو عاد بي الزمن إلى الوراء، لاخترت تسخير كل الوقت للرياضيات، ولما كانت عندي البتة ...

اقرأ المزيد ←

عندما أجاب جون فون نويمان مسألةً طرحها عليه جورج دانتزيغ عبرَ نظرية كاملة الرجل...

عندما أجاب جون فون نويمان مسألةً طرحها عليه جورج دانتزيغ عبرَ نظرية كاملة الرجل يسار الصورة هو جورج دانتزيغ، الرياضياتي الذي اشتهر بحله مسألتين وُضِعَتا على السبورة كمسائل غير محلولة في الإحصاء Stati...

اقرأ المزيد ←

هذا كتاب عملاق لكل من يشعر بأنه غير قادر على الولوج إلى عوالم الرياضيات المختلفة...

هذا كتاب عملاق لكل من يشعر بأنه غير قادر على الولوج إلى عوالم الرياضيات المختلفة، ولكل من يشعر بأنه لا يمتلك الأساسات والدَّعَّامات اللازمة لبدء ممارسة الرياضة يقع العمل "الرياضيات الابتدائية من وجهة...

اقرأ المزيد ←
لكن صاحب المنشور لا يعرف، ولا يفهم أن قضية: "الرياضيات لغة الكون" وأن "الله رياض...

لكن صاحب المنشور لا يعرف، ولا يفهم أن قضية: "الرياضيات لغة الكون" وأن "الله رياض...

لكن صاحب المنشور لا يعرف، ولا يفهم أن قضية: "الرياضيات لغة الكون" وأن "الله رياضياتي" هي قضية غير قابلة للبت Undecidable 🤤 ليأتي بها ويقررها وكأنما من السهل مزجها بالحقائق الإسلامية حينما يحب واحدٌ ...

اقرأ المزيد ←

بسم الله نستدفئ بهذه التحفة الفنية في الصور كتاب Elements of Mathematics، أضخم...

بسم الله نستدفئ بهذه التحفة الفنية في الصور كتاب Elements of Mathematics، أضخم كتاب علمي في الرياضيات، سلسلة يصل عدد أجزائها 36 مجلدا، ألفها جمعٌ من الرياضيين عُرِفُوا بمجموعة Nicholas Bourbaki نوع ...

اقرأ المزيد ←

لدى بعض طلبة الكليات العلمية سماجة -من الممكن احتمالها- تتمثل في استهجان فكرة عل...

لدى بعض طلبة الكليات العلمية سماجة -من الممكن احتمالها- تتمثل في استهجان فكرة علمية لأن الطالب لم يَدْرِ أين التطبيقات العملية عليها، في حين لدى بعضهم سماجة -من الصعب احتمالها- تتعين في استهجان فكرة ع...

اقرأ المزيد ←
توصل غيرارد غينتزن -الرجل في الصورة- إلى إثبات اتساقية(Consistency) مسلمات بيانو...

توصل غيرارد غينتزن -الرجل في الصورة- إلى إثبات اتساقية(Consistency) مسلمات بيانو...

توصل غيرارد غينتزن -الرجل في الصورة- إلى إثبات اتساقية(Consistency) مسلمات بيانو(Peano Axioms) عام 1936، وشغله الباقي في المنطق والرياضيات أعظم وأعظم جزء ضخم مما نصفه بالمنطق الرياضي الحديث تتم محاكم...

اقرأ المزيد ←
قد تظن الرجل في الصورة أحد الممثلين القدماء لفيلم الجوكر، إلا أن ظنك نصفُه خاطئ...

قد تظن الرجل في الصورة أحد الممثلين القدماء لفيلم الجوكر، إلا أن ظنك نصفُه خاطئ...

قد تظن الرجل في الصورة أحد الممثلين القدماء لفيلم الجوكر، إلا أن ظنك نصفُه خاطئ ليس بممثل، لكنه جوكر الرياضيات كارل غوستاف جاكوبي😎، الرجل الذي قضَّ مضاجع الفيزيائيين والرياضيين في الميكانيك الكمومي ...

اقرأ المزيد ←
على عكس ما يحاول الرادون الرد، فإن الرياضياتيين المسلمين قد جاوزوا حدود التقليد...

على عكس ما يحاول الرادون الرد، فإن الرياضياتيين المسلمين قد جاوزوا حدود التقليد...

على عكس ما يحاول الرادون الرد، فإن الرياضياتيين المسلمين قد جاوزوا حدود التقليد الرياضي الإغريقي، والذي كان مركزا بشدة على الهندسة(Geometry)، فقد طور الرياضيون إبان العصور الإسلامية طرائقَ أكثر عمليةً...

اقرأ المزيد ←

إيفاريست غالْوَا وضياع الرياضيات، ومن لا يعرف غالْوَا

إيفاريست غالْوَا وضياع الرياضيات، ومن لا يعرف غالْوَا! لعل الرياضياتي الفرنسي غالْوَا من الذين يتمنى المجتمع الرياضياتي لو عاشوا أكثر مما عاشوا، فذا الفتى في الصورة مات وعمرُه عشرون سنة! وعند هذا ...

اقرأ المزيد ←
((  الشيء الوحيد الذي يجعل حياة الرياضياتي تستحق العيش، هو أنه يحظى بالإعجاب على...

(( الشيء الوحيد الذي يجعل حياة الرياضياتي تستحق العيش، هو أنه يحظى بالإعجاب على...

(( الشيء الوحيد الذي يجعل حياة الرياضياتي تستحق العيش، هو أنه يحظى بالإعجاب على مضض من ثلاثة أو أربعة زملاء. )) - دونالد كنوث، صحيفة دكتور دوب، مقابلة مع دونالد كنوث(4/1996).

اقرأ المزيد ←

اعتراضات على أبي الفداء في عرضه للرياضيات [1] يقول: "فما معنى إضافة [بعد فراغي...

اعتراضات على أبي الفداء في عرضه للرياضيات [1] يقول: "فما معنى إضافة [بعد فراغي رابع] إلى تلك الثلاثة وما حقيقته؟ لا حقيقة تحته في اللغة ولا في الذهن ولا في الواقع، إلا أن يكون تنطعا وتعمقا في التجري...

اقرأ المزيد ←
كان جون فون نويمان، عند السادسة من عمره، يقسِم ويضرب رقمين من 8 منازل في رأسه 
و...

كان جون فون نويمان، عند السادسة من عمره، يقسِم ويضرب رقمين من 8 منازل في رأسه و...

كان جون فون نويمان، عند السادسة من عمره، يقسِم ويضرب رقمين من 8 منازل في رأسه وفي رأسه أيضا، كان يستطيع حساب π إلى المنزلة 23,000 في حين أن أول جهاز حاسوب[ENIAC] تم استخدامه لحساب π، والذي -بالمناسب...

اقرأ المزيد ←

أعود -اليوم أو غدًا- لاستكمال السلسلة المغطية لابن تيمية تغطيةً رياضية، وذاك عبر...

أعود -اليوم أو غدًا- لاستكمال السلسلة المغطية لابن تيمية تغطيةً رياضية، وذاك عبر كتابه الرد على المنطقيين، من خلال المنطق الطّوري(Modal Logic)، ونظرية الفئات(Category Thoery)، ونظرية النمط(Type Theory...

اقرأ المزيد ←
ديفيد هلبرت الملقب بِجَدِّ الرياضيات ينسى نفسه تحت المطر ويعطي محاضرة رياضية في جنازة

ديفيد هلبرت الملقب بِجَدِّ الرياضيات ينسى نفسه تحت المطر ويعطي محاضرة رياضية في جنازة

ديفيد هلبرت الملقب بِجَدِّ الرياضيات ينسى نفسه تحت المطر ويعطي محاضرة رياضية في جنازة! كان لدى هلبرت -الرياضياتي الألماني العملاق- تلميذ قدَّم له نفسه مرةً عبر ورقة من المفترض بها أن تثبت حدسية ريمان...

اقرأ المزيد ←
إن كلود شانون[أبو نظرية المعلومات] واحدٌ مِن أوائل مَن بحثوا فكرةَ برمجة الحاسوب...

إن كلود شانون[أبو نظرية المعلومات] واحدٌ مِن أوائل مَن بحثوا فكرةَ برمجة الحاسوب...

إن كلود شانون[أبو نظرية المعلومات] واحدٌ مِن أوائل مَن بحثوا فكرةَ برمجة الحاسوب ليلعب الشطرنج، حيث نشر أواخر سنة 1949 ورقته البحثية "برمجة الحاسوب للعب الشطرنج"، ذي الورقة معتبرةٌ ضمن واحدة من النصوص...

اقرأ المزيد ←

الكتب المدرسية(Textbooks) -الاسم لا يعني أنها للمدرسة- مصمَّمَة للبُلَداء؛ العلو...

الكتب المدرسية(Textbooks) -الاسم لا يعني أنها للمدرسة- مصمَّمَة للبُلَداء؛ العلوم لا يمكن أن تُدرس ويُضمَن فيها الإبداع من خلال اعتماد تينك الكتب مصادرا وأسلوبا للمعرفة، إنك إذ تقرأ كتابا من ذاك النوع...

اقرأ المزيد ←
هذا الكتاب مجهود جبَّار لمؤلفين، واحد باكستانيّ والثاني سنغافوري، والاثنان مسلما...

هذا الكتاب مجهود جبَّار لمؤلفين، واحد باكستانيّ والثاني سنغافوري، والاثنان مسلما...

هذا الكتاب مجهود جبَّار لمؤلفين، واحد باكستانيّ والثاني سنغافوري، والاثنان مسلمان الكتاب عبارة عن محاولة عملاقة لرصد البلوكتشين في ظل الاقتصاد الإسلامي، وللإحاطة بالمتغيرات الاقتصادية الجديدة التي فر...

اقرأ المزيد ←

ما أقوى خورازميات التشفير ما بعد الكمومي

ما أقوى خورازميات التشفير ما بعد الكمومي؟ بدايةً، فإن خوارزميات مقاومة الكمومية(Quantum-resistant algorithms)، أو التي يُشار إليها بالتشفير ما بعد الكمومي، يُعتقد بأنها آمنة ضد التهديدات المحتملة الح...

اقرأ المزيد ←
```