المنشورات

أرشيف كامل من قناة تيليغرام

أكتوبر 2023
راح الحساب...
أتى الوقت لإعلان الحرب على منصات التواصل اللعينة، أتى الوقت لوضع حد لمارك زوكربرغ وإيلون ماسك وعصابتهم، قبل 2009 لم يكن هذا ممكنا، لكن الآن، مع وجود البلوكتشين واللامركزية، فسنضرب من حيث لا يدروون

انتظروني غدا في خرط خطة خارطة طريق للمشروع مفتوح المصدر الذي سيشارك فيه الأخوة من مشارق الأرض ومغاربها
☎️ نداء حربي إلى كل المبرمجين الشرفاء من مشارق الأرض ومغاربها

في عصر رقمي تُكتَم فيه أصواتنا وتُخفى فيه حقائقنا، فإننا على حافة حرب إعلامية تُقاد ضدنا من وسائل التواصل الاجتماعية، قررت أن تكتم صوت الحق! وتعلي صوت الظَلَمَة، فقد تحتمت علينا الثورة إذن!

فيا أخوة ويا أخوات، ويا أحباب، إن قرارًا هاهنا يجب أن يُصنع، وإن ردا وسيعا يجب أن ينفذ! وبذا، فإننا قد ألمعنا إلى فكرة إنشاء موقع تواصل اجتماعي لامركزي يحفظ على الأقل صوتنا في حين تُراق دماؤنا!

إن الفكرة تعتمد البلوكتشين كأساس ومُرتَكَزٍ لها، فإذَنْ، الشفافية، والأمان، واللامركزية عناصرٌ حاضرة، الآن: تخيل كونك جزءا من هذا المشروع!

لماذا تشاركنا في مثل هكذا مشروع؟
● مفتوحية المصدر: الشفافية على البلوكتشين ليست مجرد عنصر نستخدمه للتهويل، إنما هي أساس الكود البرمجي خاصتنا، شارك، راجع، وعدِّل!

● صوت لمن لا صوت لهم: الفضاءات الرقمية الآن متواطئة في حرب إعلامية علينا، الأصوات يتم دحرها، القصص يتم التكتم عليها، ستكون منصتنا اللامركزية ثغرًا تتحول فيه الهمسات إلى هدير!

● قوة لامركزية: لا وجود لسلطة مركزية تتحكم وتسلط علينا، القوى موزعة، حيث تتبع إلينا كلنا

لا URLs للمشروع بعد، حضِّر نفسك وتجهز، قريبا، سوف يبدأ العمل!
معا، لن نكتب الكود البرمجي فحسب، بل سوف نشعل مقاومة رقمية!

إيصال صوت الحق ينتظرنا، هل أنتم معنا؟
جاهزون لصنع التاريخ؟ ابقوا متابعين!
مع أسبقية عامل السرعة، قررنا عمل تشعيب(Forking) لمنصة لامركزية تعمل كبديل لفيسبوك المركزي

المنصة هي Friendica، الآن مبدئيا، فرق التطوير(Tech Stack) المطلوبة هي:

Backend Team: PHP and SQL.
Frontend Team: Javascript, HTML, ans CSS.
Database Team: Ensuring integrity and performance
QA Team: "Bug-free code"
DevOps: Deployments, servers, continous integration.

أنشأنا مجموعة هنا على الفيس لجمع المطورين ممن لديهم خبرة في الستاك السابق، رجاءً لينضم من لديهم خبرة فقط

رابط المجموعة
للاتصال التقني بخصوص مشروع اللامركزية الأخير، بعد تعطيل الفيسبوك
(( بالطبع، قد يفكر الناس رقيقو القلب بأن هناك طريقة بارعة لنزع سلاح العدو أو إلحاق الهزيمة به، دون إراقة الكثير من الدماء، وقد يتصورون أن هذا هو الهدف الحقيقي لفن الحرب. وبقدر ما يبدو ذلك التصور ممتعا، إلا أنه مغالطة ينبغي عرضها: الحرب عمل خطر، غير أن الأخطار التي تأتي من اللطف قد تكون أسوأ بكثير. ذلك أن الاستخدام الأقصى للقوة، لا ينسجم مطلقا مع استخدام الفكر في الآن نفسه. فإذا ما استخدم أحد الجانبين القوة دون وخز من ضمير، ودون أن تعيقه إراقة الدماء التي يشتمل عليها استخدام القوة، في حين امتنع الجانب الآخر عن ذلك، ستكون للأول اليد العليا. إذ أن ذلك الجانب سيرغم الجانب الآخر على أن يحذو حذوه، وكل منهما سيدفع خصمه باتجاه الطرف الأقصى، والعوامل المقيدة فقط هي الثقل الموازن المتأصل في الحرب ))

~ فن الحرب، الجنرال كارل فون كلاوزويتز
😄
إن الفوهرر وبلا أدنى شك، هو الشخصية الأهم في الثلاثة قرون الأخيرة، وبوسعنا أن نتعلم منه، دروسا لا يعطيها الأمريكي ولا الأوروبي الحالي، إن الفوهرر، شخصيةً وفكرًا وفعلاً، هو الرجل الذي نفتقد في هذي الأيام، لست أقصد أننا نحتاج فكر الحزب النازي، بل نحتاج الفطنة، والجرأة على تحمل الهم والغم في سبيل الفكرة، ونحتاج الاندفاع والقوة والذهنية التي اتصف بها، وبعد هذا فإن الدرس الذي علمنا إياه صعود الرايخ لا يمكن نسيانه.

إنني أرتعد ويقشعر بدني كلما تناولت كتابه كفاحي لأعاود قراءته أو أعاود قراءة أجزاء منه
استكمالا للمشوار العلمي، قمت بإنشاء قناة يوتيوب لتغطي بشكل رئيس: علم التحسيب، وعلم التحسيب النظري، والمنطق، على أن التغطية ستمتد حتى الفلسفة والتاريخ والعلوم الإنسانية

أظن أن الفيديوهات الافتتاحية ستتمحور حول بعض التُّحف البرمجية واللمعات التحسيبية

القناة
ردًا على رسالة
ما أقوى خورازميات التشفير ما بعد الكمومي؟

بدايةً، فإن خوارزميات مقاومة الكمومية(Quantum-resistant algorithms)، أو التي يُشار إليها بالتشفير ما بعد الكمومي، يُعتقد بأنها آمنة ضد التهديدات المحتملة الحاضرة بسبب الحواسيب الكمومية

أنظمة التشفير التقليدية، مثل RSA، وEEC، تعتمد على صعوبة وتعقيد مسائل رياضياتية معينة[مثل إيجاد عوامل أعداد ضخمة أو تحسيب اللوغاريثم المتقطع، هذه الاعتمادية قد تصبح في مهب الريح بفعل التحسيب الكمومي، إذ يستطيع الحاسوب الكمومي حل تينك المسائل باستخدام خوارزميات مثل خوارزمية شور(Shor's Algorithm)

أظن أن التشفير ما بعد الكمومي الحالي ممكنٌ رده إلى ثلاثة أصناف رئيسة:

1. التشفير الشبكي(Lattice-based Cryptography):
في التشفير الشبكي فإن الاعتماد يكون على صعوبة المشكلات المتعلقة بالشبكات النقطية(Point Lattices) في n-dimensional spaces
واحدة من المشكلات الشائعة هي أقصر متجه ممكن(SVP)، حيث بإعطاء شبكية معينة، يكون الغرض إيجاد متجه غير صفري(non-zero vector)

من محاسن هذا النوع أنه يقدم بديلا لتشفير المفتاح العام(Public Key Cryptography)، ولوسائل تشفير أكثر تقدما مثل التعمية مثلية الشكل(Homomorphic Encryption)
تقريبا، يقدم تخفيضات تعقيدية جيدة، أي أن الأمان يكون مَقيسا بخفة مقارنة بالمشكلة الصعبة التي يتم حلها

من مساوئه أن بعض أشكاله لديها مفاتيح أضخم من الأنظمة التقليدية

أشهر الأمثلة:
NTRU, NewHope

2. التشفير التلبيدي(Hash-based Cryptograph):
الأنظمة داخل هذا النوع -والتي تُستخدم غالبا للبصمات الرقمية(Didgital Signatures)- تبني حمايتها فقط من خلال الاعتماد على دوال التشفير التلبيدية، والتي تُعتبر آمنة كموميًّا

من محاسنه أنه يُفهم بتعقيد أقل وينبني على افتراضات أقل، أما عن مساوئه فهو أنه مناسب فقط للبصمات الرقمية

أشهر الأمثلة:
SPHINCS

بقي نوع ممن قررت الحديث عنهم: وهو تشفير الشيفرة(Code-based Cryptography) وهذا هو الأقوى باعتقادي، لذا نفرد له منشورا منفصلا
هذا الكتاب مجهود جبَّار لمؤلفين، واحد باكستانيّ والثاني سنغافوري، والاثنان مسلمان

الكتاب عبارة عن محاولة عملاقة لرصد البلوكتشين في ظل الاقتصاد الإسلامي، وللإحاطة بالمتغيرات الاقتصادية الجديدة التي فرضها البلوكتشين والمؤثرة بدورها في الاقتصاد الإسلامي

في نظري فإن أحلى ما توسع فيه الكتاب هو تغطيته لمفهوم التقانة المالية الإسلامية(Islamic Fintech)

لكل مهتم بالتقاطعات المحتملة بين البلوكتشين والويب الثالث وبين الاقتصاد الإسلامي فإن هذا الكتاب صاحب مخلص لك.
الكتب المدرسية(Textbooks) -الاسم لا يعني أنها للمدرسة- مصمَّمَة للبُلَداء؛ العلوم لا يمكن أن تُدرس ويُضمَن فيها الإبداع من خلال اعتماد تينك الكتب مصادرا وأسلوبا للمعرفة، إنك إذ تقرأ كتابا من ذاك النوع فإن الأشياء التي تحصدها هي قوالب من المعلومات مصبوبة ضمن طوابع جامدة، فأنت هاهناك لم تعرف شيئا عن التاريخانية التي طوَّرت تلك النظرية أو أوجدت ذلك المفهوم، وإذ ذاك فأنت لم تُحِط بالتسلسلية العلمية التي سمحت للعلم الذي تدرسه، بأن يصل إلى ما هو عليه يوم دراستك إياه

من الجائز أن نقول أن التسلسلية التاريخية لتطور علمٍ ما، تصبُّ في النهاية في شبكيَّة جدِّ معقدة يصعب تفكيكها ويعسُر فك شيفراتها إلا على من درى بجدليتها التطورية ودوافع إيجادها وبواعث المشكلات التي حُلَّت عليها.

العلوم تتصيّر من خلال إنتاجات بحثية فردية -حتى العمل البحثي الجماعي فهو يُرجع إلى الفرد في النهاية- لذا فإن خير دراسة هي التتبع الدقيق لسَيرورة الخصوبة العلمية، وذا من خلال الانكباب لا على الكتب المدرسية، بل على الأوراق البحثية التي استخلصت منها تينك الكتب، قراءة التخصص من خلال الأوراق البحثية هو أمر سيضطر إليه جميع الدارسين في النهاية، لكنهم خيرا يفعلون إذ يبدأون مسيرتهم وذا الهدف صوب أعينهم

لا أزعم أن الأمر بسهولة التعامل مع الكتب المدرسية، بل اعتماد الأوراق البحثية أشبه بالمقارعة والمطاحنة، وهي بالغة التعقيد ومليئة بالعقبات، إلا أن رحلة كهذي تعد الدارس بإبداع ورفعة وتميز يفتقدهن سالك غير ذي الطريق
نوفمبر 2023
لحد اللحظة لا أستطيع فهم طبيعة ونفسية الشخص الذي يشعر بالإهانة حينما تتم إهانة رئيس دولته!
يظن أنه ذكي عندما يدافع عن رئيس دولته، يظن أنه من خلال تلميع رئيسه فإنه يدافع عن وطنه وهيبة وطنه

أولا: رئيس دولتك 1) وكيل لأمريكا و 2)أجير عند الإسرائيليين و3) منزوع الهيبة العالمية و4) هيبته الإقليمية مشروطة

فليعرف التيس العربي أن حدود "دولته" ولقبه "الوطني" هما المسؤولان الأساسيان عن ذُلِّه وهوانه وانسحاقه سواء عرف أنه ذليل وهائن ومسحوق أو لم يعرف

● حاشية:
الكلام منسحب على كل العرب، لكن لنأخذ مثالا:
إن المواطن المصري الذي ينفر ويقيم الدنيا ولا يقعدها حينما ينتقد أحدهم[ويكون مصريا أحيانا] جُبن ودناءة وخسة القيادة الخاصة ببلده لعجزها عن تقديم أي شيء يسير لغزة، فإن هذا المواطن ينسحب على وضع نفسي شهير:
| يصر على تلميع صورة سيده لأنه يرى ذم سيده على أنه ذم له أيضا؛ فإذن: كلا، الموقف المصري رائع وثمين وقدم ما لم يقدمه غيره |
أسوأ خطأ يمكن أن يقع فيه المبرمج -بالأخص حينما يكون مشتغلا على مشروع ضخم لوحده- هو أن يتجاهل ضرورة التخطيط والنمذجة الأوليّة وتحديد الخطوط العريضة لتشكل مشروعه

عني شخصيا، فإنني أقع في هذا الخطأ مرارا وتكرارا، وذا يرجع إلى غَرَرِي بلياقتي البرمجية الوسيعة، فأظن أنني أستطيع القيام بما يقوم به 10 أشخاص لوحدي، أستمر في كتابة الكود، ولا أجد عجزا معرفيا إلا أن ما يوقفني في النهاية هو وصول مستوى تعقيد الكود والمشروع إلى درجة جنونية لا يعود معها ممكنا أن أستمر وحدي، خاصة ضمن إطار العامل الزمني

الساعة 20:00 بدأت بكتابة مشروع غابة رقمية ثلاثة الأبعاد 3D، ووصلت 850 سطرا برمجيا حتى فقدت أعصابي عند الساعة 22:50 بسبب ارتفاع مستوى التعقيد بصورة رهيبة، وعرفت حجمي كقائم وحيد على المشروع، فقررت القرار المنطقي بالعمل على غابة من بُعدين 2D
إنشاء تجمعات من سداسيات الأضلع(Hexagons) متصلة من غير فراغات بينها، هو أمر رهيب بحق، الرياضيات اللازمة لهذا الإنشاء جميلة وماتعة إلى درجة بعيدة

برمجيا، إذا ظننت الموضوع بسيطا وحاولت إنشاء ذلك من خلال الأساليب المعروفة فإن رأسك سيؤلمك وسيضيع منك الوقت والجهد دون أي نتيجة، ستتداخل السداسيات وستتشكل فراغات، قد تتباعد، مشاكل كثيرة ستظهر

حتى لو استخدمت بعض المكتبات التي توفر وسائل تسهيلية لملاعبة الرسوميات(Graphics) فإنك قد لا تصل إلى النتيجة المرجوة من غير أن تستخدم الرياضيات الدقيقة الصحيحة[في حال أحببت أن تكتب الكود بنفسك] أو تستخدم مكتبة موجهة خصيصا إلى إنشاء تينك السداسيات على الشاكلة التي في الصورة
رغم أنني استثمرت أكثر من أسبوع من الوقت في برمجة الموقع، ومبلغا ماليا، إلا أنني شطبت الفكرة، لأن:

1) الناس لن تلتفت إليه، فلا أحد يحب التعامل مع مادة إحصائية[وإن كانت تفاعلية إبداعية] تحتوي أسماءً وأعمارا وإن كانت مرتبة منظمة

2) شهداء غزة والضفة قضوا، رحمهم الله وتقبلهم، الموقع لا يمكن أن يعيدهم، إذا أردناهم أحياءً منعنا تقتيل غيرهم، وذا لا يفعله موقع، بل تفعله الجيوش والدول

3) كانت الفكرة أن نبين أن الشهداء ليسوا مجرد أرقام، لكن اتضح لي أنهم كذلك ما دام ليست لأمة ال2 مليار هيبة وقوة وقبضة، قد قُتِّّل إخوتنا في سوريا كما تُقَتُّل غزة الآن، فإذن فإن البروباغندا والإعلام والحرب "العاطفية" لا تحرر الأراضي ولا تحفظ الشعوب ولا تعلي هيبة الأمم
ردًا على رسالة
هل يمكن لفيسبوك أو تيلغرام أو غيرهن أن يتجسسن على محادثات المستخدمين؟

لأبدأَ سريعا وبصورة موجزة، واتسآب يستخدم "التشفير من طرف لطرف"(End-to-end encryption) للمكالمات والرسائل، في حين أن المسنجر يقدم ذلك التشفير لكنه غير مفعل بصورة تلقائية، بل يحتاج المستخدم أن يشغِّل "المحادثات السرية" لتفعيل ذاك التشفير، وكذلك تيليغرام

لكن لحظة، ما هو التشفير من طرف لطرف(E2EE)؟
ذا التشفير نظام يكون فيه المستخدمون المتصلون وحدَهم من يستطيعون قراءة الرسائل، نظريا، فإنه يمنع المتنصتين المحتملين من التجسس على المحادثات أو الاتصالات، يشمل هذا موفري الاتصالات الخليوية، وموفري خدمات الانترنت، وحتى موفري خدمة الاتصال ذاتها، لكن كيف يمنعهم؟ ببساطة إنه لا يعطيهم مفاتيح التشفير المطلوبة لفك المحادثة.

ذا لأن المحادثة لا تصل الهاتف الآخر كما أرسلتها أنت بالضبط، إنما تعبر هذه الرسائل سيرفرات الشركة وهي مشفرة، حتى تصل الجهاز الآخر وهناك يتم فك تشفيرها، كيف يتم هذا؟ من خلال تشفير المفتاح العام(Public-Key Cryptography)
1) يتم إنشاء مفتاحين لكل طرف، مفتاح خاص ومفتاح عام، الخاص لا يراه أحد والعام متاح للجميع
2) يتبادل الطرفان مفتاحهما العامين.
3) يتم تشفير بيانات المرسِل عبر المفتاح العام للطرف الآخر
4) البيانات المشفرة تُرسَل للطرف الآخر.
5) الطرف الآخر يفك تشفير البيانات من خلال المفتاح الخاص الذي بحوزته.

فنظريا، هذا النظام يمنع أي طرف ثالث غير المتواصِلَيْن الاثنين أن يعرف ما يدور في المحادثة

الآن، ماذا عن السؤال الرئيس، وهو الشركات تستطيع أم لا تستطيع التجسس؟
نظريا، تستطيع الشركات أن تدفع بتحديثات لتطبيقاتها بحيث تغير الطريقة التي يعمل فيها نظام التشفير E2EE، أو تضع بوابة خلفية(Backdoor)

لكن ذلك يشكل تحديا تحسيبيا، وقانونيا بصورة أو بأخرى
في بعض الدول فإنه يُطلب من شركات معينة توفير بيانات المستخدمين عند الطلب، وبينما ترفض شركات، فإن أخرى تقبل

أما عن البيانات الوصفية(Metadata) مثل من يتحدث إلى من ومتى وكم من الوقت، فإن جمعها ليس مسألة صعبة، البعض قد يستخف بهذا النوع من البيانات إلا أنه خطير ومن السهل الإحاطة به من قبل الشركات ومطاردة الشركات قانونيا لأجل هذا النوع ستكون مطاردة غير مجدية

طبعا فإن فيسبوك(ممثلة بواتسآب ومسنجر) معروفة بقبضتها الحديدية على ذلك النوع من البيانات، الذي تستخدمه في الدعاية أو "تبيعه" لأطراف ثالثة.

الآن، كخلاصة، فإنه في حين يقدم التشفير الطرفي حمايةً قوية لمحتوى التحادث فإن طرقا كثيرة يكون فيها عنصر خرق هذه الأنظمة حاضرا، مثل الطلبات القانونية(من دولة أو مخابرات معينة) أو جمع البيانات الوصفية

نستغل هذا المنشور لنقول لكم أن واتسآب أأمن من تيليغرام🤠
أيدسكر دايكسترا، أقرب علماء التحسيب إلى قلبي وواحد من عمالقة التحسيب الكبار عبر التاريخ، قام بتنفيذ خوارزميته الشهيرة لأقصر طريق ممكن(Shortest Path Algorithm) وهو جالس مع خطيبته في مقهى، في ظرف زماني لم يتجاوز ال20 دقيقة! والأدهى أنه لم يستخدم ورقة ولا قلم، كل ذلك في عقله...

حتى أن رجلنا لم يأبه بنشر الخوارزمية عبر ورقة بحثية، إلا بعد أن نبَّهه أحدهم لنشرها بعد 3 سنوات!

خوارزميته مستخدمة في الGPS، في عملية التوجيه في هندسة الشبكات، وفي وسائل النقل والمواصلات، كذلك في علم القرار(Operations Research)، ومما لا حاجة لذكره أنها مستخدمة في علم التحسيب بشكل وسيع.
انتهيت، للمرة الثانية بعد 3 سنوات، من قراءة كتاب الفيلسوف الملحد الضخم بارون دولباخ: نظام الطبيعة أو القوانين الأخلاقية والمادية -
The System of Nature Or, Laws of The Moral and Physical World
صاحب مقولة "يُولد جميع الأطفال ملحدين؛ ليست لديهم أدنى فكرة عن الله"

الكتاب مجلدان -غير مترجم للعربية- يقعان معا في 500 صفحة، أما المجلد الأول فقد خصصه دولباخ لطرح رؤيته حول طبيعة الكون، المادة، والحركة، ومن ثم إلى العالم الإنساني وما يحكمه ويبُت في قوانينه من أخلاق، وفي علاقة الإنسان المزعومة -حسب نظر دولباخ- بالإله

أما المجلد الثاني فقد خصصه للهجوم على الأفكار التي رآها مؤسسة للاهوت وينبني عليها الإيمان، ولتقويض الأدلة البرهانية لكل من 1) لوك و2)ديكارت و3)مالبرانش و4) ونيوتن ويستمر ناحيا على ذي النهج محاولا تقويض أسس الأنظمة التي ينبني عليها الإيمان

لمن أراد الإحاطة بالأطروحات الإلحادية في القرن الثامن عشر إبان عصر التنوير، والإلمام ببعض بذور تشكيل الفلسفة المادية -من غير أن يخلط بينها وبين الإلحاد طبعا- ولمن أراد مواجهةً مباشرة مع واحد من أعتى عقول الإلحاد، فإن دولباخ واحدٌ مِن أهم مَن تُمكن قراءتهم.
إن كلود شانون[أبو نظرية المعلومات] واحدٌ مِن أوائل مَن بحثوا فكرةَ برمجة الحاسوب ليلعب الشطرنج، حيث نشر أواخر سنة 1949 ورقته البحثية "برمجة الحاسوب للعب الشطرنج"، ذي الورقة معتبرةٌ ضمن واحدة من النصوص المؤسسة في حقل الشطرنج الحاسوبي(Computer Chess)، فيها، أرسى شانون المبادئ الأساسية لِكيف يمكن للحاسوب أن يلعب الشطرنج، بما في ذلك أفكارًا حول توليد الحركات، وتقييم الرقعة، وخوارزمية الميني-ماكس، وتقييم ألفا-بيتا

كما أنه من أوائل من استكشفوا التعقيد الحسابي داخل الرقعة، فتوصل إلى حسابات سُميت خلاصتها باسمه[رقم شانون]، ذا الرقم يعبر عن مجموع عدد النقلات التي يمكن للعبة شطرنج أن تتمخض عنها، وهو 10¹²⁰، فمثلا، بعد 15 نقلة جزئية(plies) على الرقعة، يكون عدد التموضعات المحتملة
2,015,099,950,053,364,471,970
إلى الشخصية التي تريد من الجميع أن "يتضامن" وينشر المنشورات عبر فيسبوك:

كم واحدٍ لم تَرَه نشر شيئا ولا علق إلا أنه فاهم لتاريخ القضية، مستوعب لعقيدته الإسلامية، متجهز فكريا ونفسيا، وكم واحدٍ شغله الشاغل نشر المنشورات بنسخها ولصقها إلا أنه منعدمُ كلِّ شيء، ذا مجرد رقم في عدَّاد الترند وتأثيره منحصرٌ في زيادِ العدِّ أما واقعا فلا تأثير له ولا غيره

أصبح البعض يريد من جميع الناس أن يتصرفوا مثل المؤثرين أصحاب ملايين المتابعين، وأنا أطلب من هؤلاء القليل من الوعي والإدارك، فقد رأينا الناس ككل حرب يهيجون أولها وينامون بعدها، لماذا؟ لأن الأمة لا تُنصَر على الفيسبوك، بل بالتجهيز العقدي الصحيح، ولا يُرفع شأنها بنسخ المنشورات ولصقها، بل بالوعي والفهم الذي سوف يشتغل حين يحين حينه، ولا برفع الترندات، بل برفع بنادق ورشاشات ومدفعيات دبابات الجيوش، فلا تعيشوا في وهم

لست بقائل أن من ينشر ويحاول التغطية والتأثر والتأثير عملُه ضائع، بل ليس مطلوبا من الجميع هذا، وليس هذا بحالِّ مشكلة المسلمين ولا ناصر قضاياهم، فاعرفوا على أي الثغور الحقيقية تقفون، أما الوقوف على الفيسبوك فهو مستطاع وكلنا يفعله، لكن، ماذا أضفت -حضرتك- إليه؟
أبو العلاء المعري:
"ودنياك ليست للسرور معدة
فمن ناله من أهلها فهو سارق"

شوبنهاور:
"الدنيا لا تسر إنسانا، وكل منا ينفق جهده ويمضي حياته في طلب السعادة التي لا ينالها، وإذا ظفر بها وجدها وهما من الأوهام، وإنما القاعدة أن الإنسان لا يصل المرفأ إلا بعد أن يتحطم زورقه ويسقط شراعه"
قد طال انتظارُنا ترجمةَ المجلد الأخير من كتاب شوبنهاور الرئيس "العالم إرادةً وتمثلا"، والحق أن سعيد توفيق[مترجم الكتاب] عندي واحدٌ من أباطرة النقل عن الألمانية؛ فوالله لتشعرن وأنت تقرأ شوبنهاور كما لو أنه كتب ما كتب بالعربية

أما عن الجهبذ سعيد توفيق فقد قال في نوفمبر عام 2020 أنه انتهى من ترجمة المجلد الأخير الذي وقع في 850 صفحة، ووعد بصدوره بعد أن تنتهي من مراجعته فاطمة مسعود، فهل ثلاثة سنوات لا تكفي يا سعيد للمراجعة على النص الألماني؟

المشكل أن ترجمة سعيد[عن الألمانية مباشرة] فاقت الترجمتين الإنجليزيتين بمراحلَ كبيرة، فبعد أن تعوَّدت أسلوب سعيد لن يسعني أن أذهب وأقرأ المجلد المتبقي بالإنجليزية؛ عجَّل الله بصدورك أيها المجلد
روى صديقٌ لِشيلي¹، أنه تركه في الساعة العاشرة من صباح أحد الأيام وكان واقفا بجوار مدفأة غرفة مكتبه يقرأ، ثم عاد إليه في الساعة السادسة من مساء اليوم فوجده ما زال واقفا بجوار مدفأة غرفة مكتبه يقرأ وهو بادي الشحوب والإعياء، وعلم منه أنه لم يغادر مكانه أو يجلس أو يأكل منذ تركه في الصباح

[1] The Life of Percy Bysshe Shelley, Thomas Medwin
هذي الرسالة التي بدأت في توليفها قبل 4 شهور، نفضت عني استكمالَها بعد البدء في تأليفها بوقت قصير لأنني رأيت فيما رأيت أنني أقوِّض من دعامات نتاج بعض من ألف وكتب وتصدَّر الساحة، مدافعا عن الإسلام، نفسَه يظن، بطلا في الأعيان، يراه الناس، وإذ أقوِّض فإنني لا أطرح البديل أو أرد على المردود عليه، في حين أن التوقع ممن سياهجم دفاعاتٍ ناقدة[أي تدفع عن الإسلام بنقد الإلحاد] أن يطرح دفاعه الناقد البديل؛ وذي النقطة أوقفتني قليلا؛ إلا أنني قد تنبهت مؤخرا إلى أنْ لا لزام ولا لزوم لِأنْ تكون الرسائل كالمعلبات عديدة النكهات التي يرتضيها القارئ الكسول ويسعى في تمجيدها القارئ البليد

وبذا فإنني أحاول مجددا نفض الغبار وإزاحة الستار وإسالة الأحبار في تقويض البناء المنهار من الطرح الدعوي الراد على الإلحاد
ما أعرفه أن للفلسفة مدارسَ، كما للعلوم حقولا، وللآداب تياراتٍ، لكن أن تتصرف مع كل الدنيا بما فيها من فلسفات وعلوم وآداب على أنها في جعبة قلمك ومداد حبرك فتدحض المدرسة الفلسفية في صفحتين، وتنسف الحقل العلمي في بضع فقرات، وتَخُطّ على الآداب كلها في جرة قلم، فنحن إذ ذاك نقف إزاء مشكلة عويصة، تتمثل في الظاهرة التي تشكل أنت[هيثم طلعت] جزءًا منها: ظاهرة الرد على الإلحاد

لا نطالب طلعت بأن يحمل الشهادات في المساحات التي يرد فيه وعليها، بل نطالبه بدراستها أولا، ولا نطالبه بألا يرد، بل نطالبه بردود محترمة تعتمد نهجا وأسلوبا يحسن التعامل مع الأفكار ومختلف المدرسات حسب أوزانها، لا بأساليب تريد الإطاحة والنقد، فالنقض فقط

إن الصورة أسفَلَه ظاهرة مأساوية، فكأنما نتعامل مع مواضيع إنشاء في صف مدرسي نريد إنهائها بسرعة. لا أدافع عن الملحدين، ولا أدافع عن "الإلحاد"، بل أدافع عن كرامة القارئ الذي أصبح وقته ورأسه مادةً للسخرية عند هؤلاء الذين أحبوا أن يهرفوا في غير ما يعرفون، وقرر الواحد فيهم أن يتصدى للإلحاد من خلال رصِّ ما تيسر من الكلمات وراء بعضها ثم صبها -بغير أي نهج وفكر- في كتاب يشبه كل شيء إلا الكتب
وأخيرا😃
أذكرُ، في فترة العطلة ما بين المدرسة الثانوية والجامعة، أنني زدت في ترددي -الكثير أصلا- على مكتبة دنديس، أكبر مكتبة في فلسطين، وقد كنت وقتها أستخدم هاتفا من الهواتف البدائية التي لا تدعم الانترنت، ولما انتهيت -بعد ساعات طويلة- من التجوال في طوابق المكتبة الأربعة، كان ثمن الكتب النهائي يفوق ال700 شيقل[قرابة ال200$] فإذا بصاحب المكتبة -وقد كان عجوزا حاذقا- يقول لي بحزم: "فيما يبدو تريد بيع هذه الكتب فتستفيد ماليا، أما أن تقول لي أنك ستقرؤها فهذا ما لن أصدقه" قلت له مستغربا ولمَ؟ فقال: جيل اليوم الذي يقضي كل وقته على الهاتف لا يقرأ كل هذه الكتب؛ فقلت له أنا لا أحمل هاتفا كجيل اليوم، وأشهرت من جيبي هاتفي البدائي، فإذا بعلامات الإعجاب تعلو عينيه فيقعب على كلامه بأنه هكذا يستطيع تصديق أنني سأقرأ تينك الكتب

وعن نفسي أقول أني ما نعمت بأيام هادئة وأمزجة صافية وأذهان راكزة كنعمي بها أيام انقطاعي عن الانترنت والتواصل، فاسأل الله أن يعيدني إلى أيام العز تلك
حينما قابل ريتشارد فاينمان بطلَه بول ديراك عقب مؤتمر بوكونو، افتُتِح الحديث بينهما على ذي الشاكلة:

'أنا فاينمان' [::] "أنا ديراك"

(صمت)

'إنه لمن الرائع أن تكونَ مكتشف تلك المعادلة' [::] "هذا كان قبل وقت طويل، على ماذا تشتغل الآن؟"

'على الميزونات(Mesons)' [::] "هل تحاول اكتشاف معادلة لهن؟"

'إنها صعبة جدا' [::] "على المرء أن يحاول"
سام ألتمان، الشريك المؤسس لشركة OpenAI الواقفة وراء ChatGPT، وعلى غير المتوقع، يُطرد من منصبه كرئيس تنفيذي للشركة بعد إجماع مجلس الإدارة على فقدانه للثقة في قيادة الشركة

الخبر صاعق شيئا ما...
ديكارت حاكيا عن الهندسة التحليلية(Analytic Geometry):

"تبقى دائما مقيدة تفحص الأشكال، إلى درجة أنها لا تستطيع ترويض الذهن من دون إرهاق الخيال."¹

قلت: الله!

~ 1. حديث الطريقة لقيادة العقل قيادة حسنة والبحث عن الحقيقة في العلوم، ص92، رينيه ديكارت
وبعد أن عذَّبنا معذِّب الجميع[PDF] وحبسنا لسنوات؛ فغنمنا هذه التحف، نقول: إذا اشتريت فكَثِّرْ وإذا قَنَيْت فاقنَ الكبار!
"إن السيطرة العالمية لأمريكا تعتمد بشكل مباشر على المدى الزمني والمدى الفعال لاستمرار التفوق الأميركي على القارة الأوراسية، ومن الواضح أن هذا وضع مؤقت"

~ زبغنيو بريجينسكي؛ مستشار الأمن القومي الأمريكي الأسبق، رقعة الشطرنج الكبرى؛ ص32
شغل ديكارت من طول كتابه "حديث الطريقة" نصفَه يقدِّم ويسهِّل، فجعل الحديث في ستة أجزاء، كان الرابع منها البدءَ الفعلي للتغطية العميقة، المتمحورة حول تأملات أراد كشفها

تصل الجزء الرابع فتجد في أول صفحة:
"وحالة النجاة بأعجوبة التي عاشتها أمريكا في 2007 تُذكِّر بأن مثل هذا السيناريو المنذِر بكارثة ليس افتراضيًّا مئة بالمئة. فبالتضافر مع جملة العواقب المدمرة لأي تورط عسكري مصعَّد في الخارج، يمكن لكارثة كهذه أن تُعَجِّل -في غضون أعوام قليلة فقط- بنهاية تفوق أمريكا العالمي"

~ زبيغنو بريجينسكي؛ مستشار الأمن القومي الأمريكي الأسبق، رؤية استراتيجية: أمريكا وأزمة السلطة العالمية، ص89
صورة جوية لوصول الكواسر اليوم

وذا أخيرا.
ردًا على رسالة
"فأي مرض داخلي مزمن أو خارجي متمادٍ لا بد له من أن يستنزف حيوية أمريكا، ويُجْهِز تدريجيا على معنويات المجتمع الأمريكي، ويختزل جاذبية أمريكا الاجتماعية ومشروعيتها العالمية، وينتج ربما مع حلول عام 2025 في أجواء عالمية غير مستقرة نهايةَ أمرٍ واقع لمفعول ادعاء أمريكا المتغطرس ذات يوم امتلاكَ القرن الواحد والعشرين، ولكن من الذي يمكنه، عندئذ، أن يزعم لنفسه مثل هذا الامتلاك؟"

~ زبيغنو بريجينسكي؛ مستشار الأمن القومي الأمريكي الأسبق، رؤية استراتيجية: أمريكا وأزمة السلطة العالمية، ص90
في كتاب بريجينسكي المَهول المؤلَف عام 2012 [رؤية استراتيجية: أمريكا وأزمة السلطة العالمية] تحديدا في الباب الثالث المُعنوَن [العالم بعد أمريكا: مع حلول 2025 ليس صينيا وإنما فوضويا] تحت قسم [الدول الأكثر تعرضا للخطر الجيوسياسي]، كانت إسرائيل قد زيَّنت القسم، وهناك يقول بريجينسكي:

"في مثل ذلك السياق الجيوسياسي، وفي تناقض مع أولئك الذين يؤمنون بأن من شأن أمن إسرائيل الطويلِ المدى أن يكسب من أمريكا محبوسة داخل إطار علاقة عداء مع العالم الإسلامي، يمكن لبقاء إسرائيل على المدى الطويل أن يتعرض للخطر...إلا أن موقف أمريكا ودعمها السخي لإسرائيل، قد يصبحان أقل جدارة بالتعويل"

"فمع تعرض أمريكا للتدهور، رغم التأييد الشعبي لإسرائيل، مع احتمال مسارعة جزء كبير من العالم إلى تحميل أمريكا مسؤولية الاضطرابات الإقليمية. ومع جماهير عربية مستنفرة سياسيا وأكثر استعدادا للانخراط في أعمال عنف مديدة("حرب الشعب")، فإن إسرائيل مرشحة لأن تصبح في نظر الأوساط الدولية دولة فصل عنصري "Apartheid"، ستكون ذات آفاق مستقبلية مثقلة بالشكوك على المدى الطويل."

~ ص117- ص118
ما في الصورة من كتب ثمنُه 8000$، وهي الأعمال العلمية الكاملة لوحش الوحوش الرياضي والفيزيائي وعالم التحسيب جون فون نويمان
"إذا كنتُ قادرا على أن أثبت عبرَ المنطق أنك سوف تموت بعد خمسة دقائق، فسأكون حزينا على أنك ستموت، لكن حزني سوف يتم تخفيفه بشدة من خلال المتعة في الإثبات"

~ ج. إتش. هاردي في رسالة إلى برتراند راسل
"ثمة بالفعل عدد غير قليل من أوجه الشبه الباعثة على الذعر بين الاتحاد السوفييتي قبيل سقوطه وأمريكا في السنوات الأولى من القرن الواحد والعشرين"

~ زبيغنو بريجينسكي؛ رؤية استراتيجية: أمريكا وأزمة السلطة العالمية، 2012، ص12
ردًا على رسالة
هل واردٌ أن يسقط الانترنت؟

سقوط الانترنت منوطٌ -عبر واحدة من الأسباب المحتملة الرئيسة- بخراب أنظمة تشفير معينة، التي ستشكل إذا ما تعطلت خطرا حقيقيا لأمان الانترنت واستقراره

إن علم التشفير أساسيٌّ ومحوريّ -من أوجه عديدة- للانترنت وأمانه، بما في ذلك تأمين المعاملات عبر الويب، توثيق المستخدمين والتوثق منهم، وحماية الخصوصية، لكنَّ أسبابًا نائمة قد تصحو مهدِّدةً الانترنت، أقول منها الآتي:

1. اكتشاف لثغرات رياضياتية؛ ستكون خوارزميات تشفير ضخمة في مهب الريح إذا ما تمت إنجازات رياضية مَهُولة، فمثلا، لو اكتشف أحدهم طريقةً سريعة، وفعالة لإيجاد عوامل الأعداد الضخمة، فإن ذلك سوف يكسر تشفير RSA، المستخدَم وسيعا لتأمين المعاملات عبر الويب

2. إنجازات مهولة في التحسيب الكمي: واحدة من أهم الأخطار المحدقة بأساليب التشفير الحالية هي التطويرات المحتملة لحاسوب كمي كامل، فالحواسيب الكمية تستطيع -نظريا- كسر الكثير من خورازميات التشفير المستخدمة حاليا، مثل RSA و ECC، التي تتأسس على صعوبة إيجاد عوامل الأعداد الضخمة أو حل مشكلات اللوغاريثم المتقطع

3. تقدمات في مجال تحليل الشفيرات(Cryptanalysis): تحليل الشفيرات هو علم كسر الرموز والشيفرات، إن تطويرات معينة فيه من الممكن أن تكسر خوارزميات التشفير الموجودة بأسهلَ من المتوقع.

وبذا فإنه كذلك يُذكر أن انهيارات معينة في علم التشفير ستكون لها لواحق ومؤديات لكل الانترنت، من خسران الثقة في التواصل والاتصال حتى المعاملات المالية وتخزين البيانات
مشكلة "الرد على الإلحاد" [1]

الناس اليوم يظنون، بفعل طلعت وغيره من المشتغلين في سيرك "الرد على الإلحاد"، أن الإلحاد هو شيء تتم تسخير الأقلام له وإسالة الأحبار عليه وإراقة المداد فيه، هكذا تحت عنوان موحَّد وموقف أصيل ورؤية مشتركة، بأسلوب واحد وخطاب واحد

هذا العمق العقيم في الرؤية التي تتخذها أطروحاتهم، أقل ما يمكن أن يُقال عنه أنه بهلوانيّ، لماذا؟ رَ -مثلا- تعقيبات القوم تجد أنهم لا يميزون إطلاقا ولا على أي صورة من الصور بين الإلحاد عند المثاليين والإلحاد لدى الماديين، فكل الملحدين عندهم ماديون! وكل الإلحاد عندهم فلسفة مادية "نتنة"! فنحن إذ نتعامل مع أُناسٍ في الفن الذي يحاولون التصدر فيه لا يجيدون أبجدياته، فهل مطلوب منا أن نصفق لهم ونقول: أوه! بورك القوم على جراءتهم في التصدي وجزاهم الله خيرا عن جهالتهم في التصدر فيما لا يفقهون!

يتبع...
ديفيد هلبرت الملقب بِجَدِّ الرياضيات ينسى نفسه تحت المطر ويعطي محاضرة رياضية في جنازة!

كان لدى هلبرت -الرياضياتي الألماني العملاق- تلميذ قدَّم له نفسه مرةً عبر ورقة من المفترض بها أن تثبت حدسية ريمان. درس هلبرت الورقة بحذر وكان معجبا وبشدة بعمق الحجة فيها؛ لكنه وللأسف وجد خطأً حتى هو لا يستطيع إزالته

مات الطالب السنةَ التالية، طلب هلبرت من والديّ الشاب الحزينَيْن أن يُسمَح له بأن يؤدي خطابا في الجنازة، وبينما يتجمع أقرباء التلميذ وأصدقاؤه باكين عند القبر تحت المطر، تقدم هلبرت التجمعات

بدأ بالقول بأنه يا لها من مأساة أن يموت شاب موهوب قبل أن تسنح له الفرصة ليظهر النتائج التي حققها، لكن رغم الحقيقة بأن إثبات هذا الشاب لحدسية ريمان قد حوى خطأً، إلا أنه لا زال ممكنا أن إثبات الحدسية المشهورة سيتم من خلال مضمون السطور التي أشار إليها الفقيد.

"في الحقيقة"، أكمل هلبرت متحمسا، واقفا على المنصة تحت المطر أمام حشود حاضري الجنازة:
"دعونا نفترض دالة f لمتغير مركَّب(Complex variable)..."

~ (القصة من سيرة هلبرت التي كتبتها مؤرخة الرياضيات Constance Reid)
الطلب على مطوري ومبرمجي البلوكتشين يزداد ب517% سنويا!

مقارنة بازدياد ب27% فقط على مطوري تعلم الآلة[في الذكاء الاصطناعي]

وب7% على مطور الويب المتكامل(Full stack)

مطور البلوكتشين في هذه الأيام أميرٌ على مطوري القطاعات الأخرى...
ردًا على رسالة
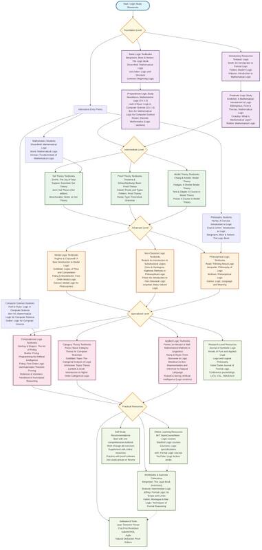
خطة خارطة طريق لدراسة البلوكتشين، أصيغها من خلال تجربتي

بإيجاز سريع غير مخِلّ، نعرف البلوكتشين، سمحت تكنولوجيا الحافظة الموزعة(Distributed Ledger-DLT) بالتضافر مع علم التشفير بظهور ما نعرفه اليوم مما يسمى بالبلوكتشين؛ فمن حيث أبسط التعريفات الممكنة فإن البلوكتشين هو بنية بيانات(Data Structure) ومن حيث تعريف معقد فإن تلك البنية هي حافظة موزعة من الكُتل النامية والتي يكون بعضها مرتبطا بأمان بالبعض الآخر من خلال خوارزميات تشفير معينة

ولئلا ينقلب المنشور إلى ساحة أكاديمية أبدأ في خرط الخطة، بدايةً، ولشح المصادر، أرى أن أمام الدارس خيارَيْن أولاهما أن يحاول الدراسة من يوتيوب وهذا في نظري غير فعال كثيرا، لقلة الفيديوهات المخصصة للبلوكتشين ولانعدام عمق التغطية، أما الثاني والذي أريد الحديث عنه فهو الدراسة الممنهجة من الكتب

للبدء في رحلة هدفها أن تصنع مطور أو مبرمج بلوكتشين فإن أمورا عمومية يجب أن تُغطَّى وُتعطى، وهي الأشياء المفاهيمية التي تلزم أي شكل من أشكال التطوير التي سيسمى عليها الدارس لاحقا، وعند هذا الجزء لست أعرف كتابا أعظم ولا محتوىً أجمد من كتاب تريكاتي ولبتون
[Blockchain and Distributed Ledgers: Mathematics, Technology, and Economics]

الآن، تقريبا هذا الكتاب عبارة عن وصفة سحرية لأنه سيختصر على الدارس طريقا طويلة في تشذيب المفاهيم وتهذيب المضامين، فبعده يكون ممتازا أن تبدأ الدراسة في علم التشفير، وواحدة من أقصر الطرق أن يُمسَك كتاب أندرياس بولفينغ
[Cryptographic Primitives in Blockchain Technology: A Mathematical Introduction]
فهو يكاد يكون الكتاب الوحيد في علم التشفير المخصص للبلوكتشين

هاهنا، وإذا ما هضمت الكتابين السابق ذكرُهما فإنك على جهوزية جيدة للبدء في دراسة التطوير الفعلي، إذ ستحتاج لغةً برمجية محببة للإندستري مثل[Solidity, Rust, Go...etc]، ولأن الموضوع يصبح مرهقا إذا كان مفصِّلا حين انعدام الحاجة لتفصيله، فإنني أتوقف هنا وأترك الأمر لمن يريد الدراسة بعد إنهاء الكتابين إذ سيكون قادرا على شق بقية الطريق وحده

في الصورة مكتبتي الإلكترونية للبلوكتشين، تُجاوز 150 كتابا
تتمة للمنشورات السابقة: هذه مجموعة من 20 كتابا، تغطي مستويات عديدة في علم التشفير، لغة البرمجة Solidity وبلوكتشين الإثيريوم، وبلوكتشين Hyperledger Fabric، بالإضافة إلى قليل من موضوعات أخرى هنا وقليل هناك.
ديسمبر 2023
يناير 2024
فبراير 2024
مارس 2024
أبريل 2024
مايو 2024
يونيو 2024
يوليو 2024
أغسطس 2024
سبتمبر 2024
أكتوبر 2024
نوفمبر 2024
ديسمبر 2024
يناير 2025
فبراير 2025
مارس 2025
أبريل 2025
مايو 2025
يونيو 2025
يوليو 2025
أغسطس 2025
نوفمبر 2025